Из методических рекомендаций по
оцениванию выполнения заданий ОГЭ с развернутым ответом в 2018 году.
Примеры
оценивания ответов с комментариями.
Критерии оценки выполнения задания 21.
|
Баллы
|
Критерии оценки выполнения задания
|
|
2
|
Правильно выполнены преобразования, получен верный ответ
|
|
1
|
Решение
доведено до конца, но допущена ошибка вычислительного характера или описка, с
её учётом дальнейшие шаги выполнены верно
|
|
0
|
Другие случаи, не соответствующие указанным критериям
|
|
2
|
Максимальный балл
|
Небольшое уточнение с «ошибка или описка» до «ошибки
или описки» подчеркивает тот факт, что 1 балл допускается ставить в тех
случаях, когда единственная вычислительная ошибка (описка) стала причиной того,
что неверен ответ.
К вычислительным ошибкам не относятся ошибки в
формулах при решении квадратного уравнения, действиях с числами с разными
знаками, упрощении выражений со степенями и корнями и т.д.
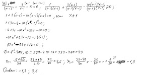
Решение сдававшего экзамен
Комментарий.
Работа
интересная – записан верный ответ. Но присутствуют в последних строках:
а)
ошибка в вычислении корня квадратного уравнения;
б)
ошибка при сложении чисел с разными знаками;
в)
ошибка в формуле корней квадратного уравнения;
г)
ошибка при делении чисел с разными знаками.
Оценка эксперта: 0 баллов.
Другое решение этого задания.
Комментарий.
При
нахождении корней квадратного уравнения допущена неверная запись. При наличии
общей формулы для нахождения корней квадратного уравнения, записанной верно, не
извлечен корень из дискриминанта, все дальнейшие вычисления (с этой ошибкой)
выполнены верно. Вычислительная ошибка присутствует, с её учётом дальнейшие
шаги выполнены верно.
Оценка
эксперта: 1 балл.
Третье решение задания.
Комментарий.
Все
этапы решения присутствуют, корни в правом столбце найдены верно. Неверную
запись ответа можно рассмотреть как описку.
Оценка
эксперта: 1 балл.




Комментариев нет:
Отправить комментарий